Original Research
Published on 08 Nov 2021
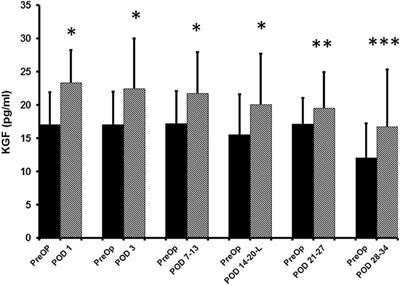
Plasma Levels of Keratinocyte Growth Factor Are Significantly Elevated for 5 Weeks After Minimally Invasive Colorectal Resection Which May Promote Cancer Recurrence and Metastasis
- 2,692 views
- 3 citations
Original Research
Published on 08 Nov 2021
Original Research
Published on 08 Nov 2021
Case Report
Published on 05 Nov 2021
Original Research
Published on 04 Nov 2021
Case Report
Published on 04 Nov 2021
Original Research
Published on 04 Nov 2021
Systematic Review
Published on 03 Nov 2021
Original Research
Published on 03 Nov 2021
Original Research
Published on 03 Nov 2021
Review
Published on 03 Nov 2021
Original Research
Published on 03 Nov 2021
Case Report
Published on 02 Nov 2021
Case Report
Published on 02 Nov 2021
Review
Published on 01 Nov 2021
Systematic Review
Published on 01 Nov 2021
Original Research
Published on 01 Nov 2021
Original Research
Published on 01 Nov 2021
Original Research
Published on 29 Oct 2021
Systematic Review
Published on 29 Oct 2021
Original Research
Published on 29 Oct 2021
Original Research
Published on 29 Oct 2021
Systematic Review
Published on 29 Oct 2021
Original Research
Published on 28 Oct 2021
Review
Published on 28 Oct 2021